Brendan Janus
Player Valuation: £40m
He's retired !!
He's retired !!
He died in 2011. You're making my head hurt.He's retired !!
depends on the size of the paper...a piece of toilet paper 10 miles long was folded 13x.*You can't fold a piece of paper in half more than 7 times

Size doesn't matterdepends on the size of the paper...a piece of toilet paper 10 miles long was folded 13x.*
*the toilet paper was about .5mm thick to begin with.
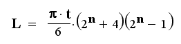
For single-direction folding, the following equation applies
where t represents the thickness of the material to be folded, L represents the length of a piece of paper to be folded in only one direction, and n represents the number of folds desired.
So, t=.5mm, n=13 and L = about 16million mm (or about 10 miles)

Size doesn't matter![]()
absolutely true: if a piece of paper is 400,000km thick, for it to reach the moon, you wouldn't have to fold it at all!!I think it's clearly been shown that size does matter, but it's thickness that really counts...
The cubed root of 10 is about 2.15
And the cubed root of 1000 is 10
Therefore, the cubed root of 10,000 is about 21.5
My insomniacal tendencies lend me persuasion to share such maths trivia because a 2 am infomercial for an air heated oven/cooker exclaimed a '10 litre cooking capacity!!'...and I was set to wondering 'how big (spatially) is that cooker?'
Well, 10 litres= 10,000mls=10,000 cc...and the cubed root of 10,000 cc = about 21.5cm (as above).
The question that then detained me was: 'is a heated air cooker of dimension 21.5cm by 21.5cm by 21.5cm sufficiently large for my cooking requirements?'
Well, yes....
....but to cut a long story short, I didn't buy the cooker because everything I have ever bought in those infomercials has turned out to be crap.

The cubed root of 10 is about 2.15
And the cubed root of 1000 is 10
Therefore, the cubed root of 10,000 is about 21.5
My insomniacal tendencies lend me persuasion to share such maths trivia because a 2 am infomercial for an air heated oven/cooker exclaimed a '10 litre cooking capacity!!'...and I was set to wondering 'how big (spatially) is that cooker?'
Well, 10 litres= 10,000mls=10,000 cc...and the cubed root of 10,000 cc = about 21.5cm (as above).
The question that then detained me was: 'is a heated air cooker of dimension 21.5cm by 21.5cm by 21.5cm sufficiently large for my cooking requirements?'
Well, yes....
....but to cut a long story short, I didn't buy the cooker because everything I have ever bought in those infomercials has turned out to be crap.
I'm a geek-tragedyGeek alert![]()
In captivity ravens can talk very well
Join the Everton conversation today.
Fewer ads, full access, completely free.